Во время планового отключения проводится профилактика системы горячего водоснабжения, меняются и ремонтируются коммуникации и насосное оборудование.
Это позволяет своевременно обнаружить и устранить неполадки в работе сетей, которые в дальнейшем могут привести к аварии.
Проведение профилактических работ, как правило, требует отключения горячей воды у потребителей на непродолжительный период времени.
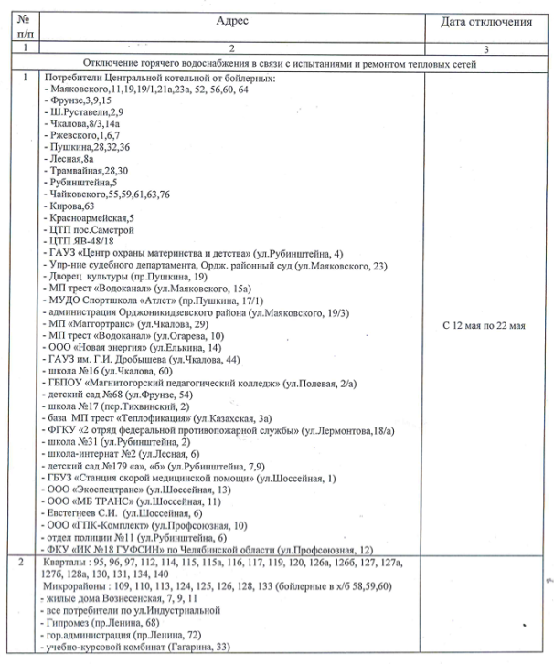
Ознакомиться с графиком можно по ссылке, либо открыть фотографии в галерее.



